
이진 트리를 입력받아 전위 순회(preorder traversal), 중위 순회(inorder traversal), 후위 순회(postorder traversal)한 결과를 출력하는 프로그램을 작성하시오.
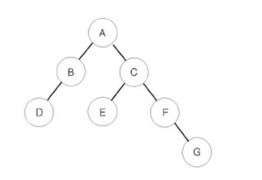
예를 들어 위와 같은 이진 트리가 입력되면,
- 전위 순회한 결과 : ABDCEFG // (루트) (왼쪽 자식) (오른쪽 자식)
- 중위 순회한 결과 : DBAECFG // (왼쪽 자식) (루트) (오른쪽 자식)
- 후위 순회한 결과 : DBEGFCA // (왼쪽 자식) (오른쪽 자식) (루트)
가 된다.
입력
첫째 줄에는 이진 트리의 노드의 개수 N(1 ≤ N ≤ 26)이 주어진다. 둘째 줄부터 N개의 줄에 걸쳐 각 노드와 그의 왼쪽 자식 노드, 오른쪽 자식 노드가 주어진다. 노드의 이름은 A부터 차례대로 알파벳 대문자로 매겨지며, 항상 A가 루트 노드가 된다. 자식 노드가 없는 경우에는 .으로 표현한다.
예제 입력 1
7
A B C
B D .
C E F
E . .
F . G
D . .
G . .
예제 출력 1
ABDCEFG
DBAECFG
DBEGFCA
아이디어 생각하기
이 문제를 딱 봤을 때 1학년 자료구조 때 배운 전위순회, 중위순회, 후위순회가 떠올랐지만... 기억이 안 나서 전위 중위 후위를 다시 공부해야하나 생각했다... 하지만 풀이를 찾아보니 위 개념을 몰라도 풀 수 있다!
문제에서
전위 순회한 결과 : ABDCEFG // (루트) (왼쪽 자식) (오른쪽 자식)
중위 순회한 결과 : DBAECFG // (왼쪽 자식) (루트) (오른쪽 자식)
후위 순회한 결과 : DBEGFCA // (왼쪽 자식) (오른쪽 자식) (루트)
명시하고 있으므로,
전위 순회: 1. 루트출력 2. 재귀로 왼쪽 자식 탐색 2. 재귀로 오른쪽 노드 탐색
중위 순회: 1. 재귀로 왼쪽 탐색 2. 루트출력 3.재귀로 오른쪽 노드 탐색
후위 순회 : 1. 재귀로 왼쪽 탐색 2. 오른쪽 노드탐색 3. 루트 출력
함수를 각각 구현하고, 시작 노드는 무조건 'A'이므로, 함수 실행 시 'A'를 인자로 넣어주면 된다.
그렇다면 트리는 어떻게 만들어야할까?
이게 진짜 문제였다... 이중배열로 그래프를 만들어야하나 고민했는데, 딕셔너리를 이용해
각 루트를 key값으로 하고, 자식 노드를 value로 넣어주면 된다.
{'A': ('B', 'C'), 'B': ('D', '.'), 'C': ('E', 'F'), 'E': ('.', '.'), 'F': ('.', 'G'), 'D': ('.', '.'), 'G': ('.', '.')}
import sys
input = sys.stdin.readline
sys.setrecursionlimit(10**8) # 재귀함수 리미트하여 메모리 초과 방지
n = int(input())
# 딕셔너리로 트리 구현
tree = {}
for i in range(n):
root, left, right = map(str, input().split()) # 루트, 왼쪽자식, 오른쪽 자식
tree[root] = left, right # {'A': ('B', 'C')}
def preorder(v): # 전위순회
if v != ".": # 루트 노트가 .이 아니면 (자식이 있다면)
print(v, end="")
preorder(tree[v][0]) # 재귀적으로 왼쪽 노드 탐색
preorder(tree[v][1]) # 재귀적으로 오른쪽 노드 탐색
def inorder(v): # 중위순회
if v != ".": # .이 아니면
inorder(tree[v][0]) # 재귀적으로 왼쪽 노드 탐색
print(v, end="") # 루트 출력
inorder(tree[v][1]) # 재귀적으로 오른쪽 노드 탐색
def postorder(v): # 후위순회
if v != ".": # .이 아니면
postorder(tree[v][0]) # 재귀적으로 왼쪽 노드 탐색
postorder(tree[v][1]) # 재귀적으로 오른쪽 노드 탐색
print(v, end="") # 루트 출력
#루트노드 'A'
preorder('A')
print("")
inorder('A')
print("")
postorder('A')
'알고리즘' 카테고리의 다른 글
| [Python] 🥈백준 트리의 부모 찾기 - 11725 /DFS 알고리즘 (0) | 2023.02.19 |
|---|---|
| [Python] 🥈백준 2667 단지 번호붙이기 /DFS를 활용하여 연결요소 구하기 (0) | 2023.02.19 |
| [ Python] 백준 10819번 차이를 최대로 / 브루트포스 그림 풀이 (0) | 2023.02.14 |
| [python] 계수정렬 (0) | 2023.02.07 |
| [Python] 이진 탐색 기초/ 백준 2110번 공유기 설치 파이썬 풀이 (0) | 2023.02.07 |